百达医学网

 找回密码
 我要注册

QQ登录

只需一步,快速开始

卫生管理职称手机题库卫生职称精准资料高级职称题库及白皮书实验保过课堂,一次过!
淘精准资料书籍双百实验,给自己过关机会医学高级职称题库庆祝,百达开通北医服务专区
查看: 2895|回复: 4
收起左侧

[执业西药师] 药化信使:考点一:药物的通用名、分类和用途

[复制链接]
发表于 2011-8-25 17:00:34 | 显示全部楼层 |阅读模式

马上注册,登陆找组织啦,您不是一个人在战斗,欢迎加入医务人员大家庭,这里有才华横溢医学院教授,也有妙手回春杏林高手,也有踌躇满志医界公仆。我们与您一起攀登医界最高峰,因真理得自由以服务。如果您是专家能人加qq395063096获取特别邀请。

您需要 登录 才可以下载或查看,没有账号?我要注册

x
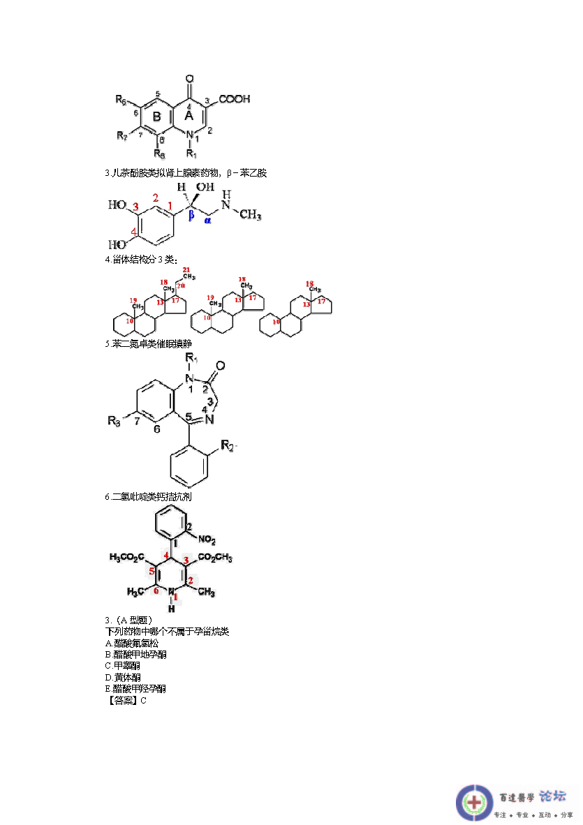
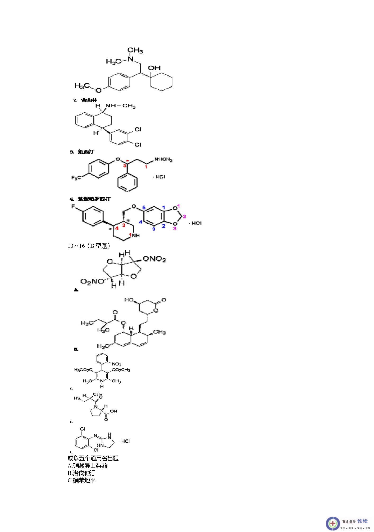
药化信使:考点一:药物的通用名、分类和用途
下载:word版
考点一总结.doc (428.5 KB, 下载次数: 32)
考点一_页面_01.png
考点一_页面_02.png
考点一_页面_03.png
考点一_页面_04.png
考点一_页面_05.png
考点一_页面_06.png
考点一_页面_07.png
考点一_页面_08.png
考点一_页面_09.png
我信任百达,希望一次过关!学习是一种习惯,学习也是一种信仰。
发表于 2011-10-24 13:16:05 | 显示全部楼层
我信任百达,希望一次过关!学习是一种习惯,学习也是一种信仰。
发表于 2011-11-3 13:02:15 | 显示全部楼层
我信任百达,希望一次过关!学习是一种习惯,学习也是一种信仰。
发表于 2011-11-27 13:19:29 | 显示全部楼层
我信任百达,希望一次过关!学习是一种习惯,学习也是一种信仰。
您需要登录后才可以回帖 登录 | 我要注册

本版积分规则

百达感恩节特惠大促销活动

QQ|百达医学|小黑屋|手机版|Archiver|百达医学网社区 ( 京ICP备14026141号-1公安机关备案号码:13100015310 )

GMT+8, 2025-11-3 18:27

Powered by Discuz! X3.4

Copyright © 2001-2023, Tencent Cloud.

快速回复 返回顶部 返回列表